To calculate result you have to disable your ad blocker first.
Beta Function Calculator
Enter positive real numbers in the given input boxes and hit the Calculate button to find the beta function using beta calculator.
Table of Contents:
Beta function calculator is an online tool that calculates the beta function for two given variables or shape parameters x and y.
What is beta function?
Beta function is a special function in mathematics that is closely related to the gamma function and to binomial coefficients. It is also known as the Euler integral of the first kind because it was studied by Euler and Legendre. Its symbol Β.

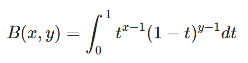
Beta function formula
The beta function equation can be expressed as:

Where,
Β refers to the beta function,
x is the value of x, and
y is the value of y variable.
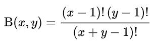
How to solve for beta function (B)?
Example:
Evaluate the following beta function.

Solution:
Step 1: Rewrite the original function as given below.

Step 2: Compare the above function to the beta function formula.

By comparing, we got x and y as:
x = 5, and y = 4
Step 3: Write the factorial form of beta function and place the values.



B (5, 4) = 0.0035714