To calculate result you have to disable your ad blocker first.
Quartile Calculator
Enter the numbers separated by commas in the quartile calculator and click calculate to find Q1, Q2, Q3, and IQR.
Table of Contents:
Quartile Calculator
Quartile calculator is an online tool that can find:
- First Quartile (Lower)
- Median (2nd Quartile)
- Third Quartile (Upper)
- Interquartile Range (IQR)
In this post, you will learn about quartiles and how to find them.
Quartiles - Definition
Quartiles are three such points that divide a group into four equal parts. Each quartile accounts for a separate fourth part.

First Quartile (Q1)
It is the lower quartile which is the 25th percentile of the group. It is the point that divides the group in a ratio of 1:3.
Second Quartile (Q2)
It is the central quartile which is the 50th percentile of the data. It is the point that divides the group in a ratio of 2:2. It is also called the median.
Third Quartile (Q3)
It is the upper quartile which is the 75th percentile of the group. It is the point that divides the group in a ratio of 3:1.
Note: A group is divided into 100 percentiles.

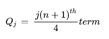
Quartile Formulas
There is a general quartile formula that is adjusted according to the need for calculating a particular quartile. This formula is:

Where ’J’ is the number of quartiles i.e. 1,2,3.
Interquartile range formula
IQR = Q3 - Q1
Where Q3 and Q1 are the third and first quartiles respectively.
How to find Quartiles?
Example
For the following set of data, find the 1st and 3rd quartiles. Also, find IQR.
3, 1, 6, 9, 12, 15, 18
Solution:
Step 1: Arrange the values in ascending order.
1, 3, 6, 9, 12, 15, 18
Step 2: Put the values in the quartile formula for the first quartile.
Q1 = 1(n+1)th/4 term
Q1 = 1(7+1)th/4 term
Q1 = (8)th/4 term
Q1 = 2nd term
2nd term is 3. So,
Q1 = 3
Step 3: Put the values in the quartile formula for the third quartile.
Q3 = 3(n+1)th/4 term
Q3 = 3(7+1)th/4 term
Q3 = 24th/4 term
Q3 = 6th term
6th term is 15. So,
Q3 = 15
Step 4: Put these values in the interquartile formula or use the IQR calculator above.
IQR = Q3 - Q1
IQR = 15 - 3
IQR = 12