To calculate result you have to disable your ad blocker first.
Determinant Calculator
Enter the values of the matrix to calculate the determinant of a matrix using determinants calculator.
Determinant Calculator
This matrix determinant calculator can calculate the determinants of matrices up to the order of 5. What’s amazing about this calculator is that you can see all the steps of calculations.
Definition - Determinant of a Matrix
Determinants are scalar quantities and are functions of square matrices. They help to know the nature and inverse of matrices.
A determinant is usually represented with capital alphabets. It is a function of a matrix that gives a singular value.
Formula to find the determinant of the matrix
Square matrices exist in various sizes. Each size has a different formula of determinants. It is not possible to write formulas for all. So below are the formulas for the most common ones.
For a 2x2 matrix

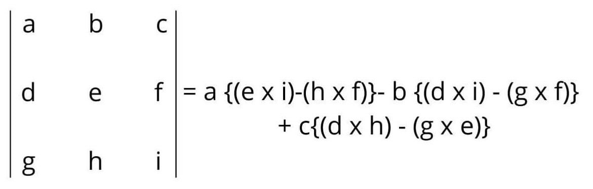
For a 3x3 matrix

The expansion method for the above equation:

How to find determinant of a matrix?
Example
Find the determinant of the following matrix:

Solution:
Step 1: Write down the formula.
= (a x d) - (c x b)
Step 2: Place the values in the equation.
=(4 x 2) - (3 x 6)
= 8 - 18
= -10