To calculate result you have to disable your ad blocker first.
Triangular Pyramid Surface Area Calculator
Choose the measure you want to calculate and enter the required values in the triangular pyramid surface area calculator.
Triangular Pyramid Surface Area Calculator
The surface area of a triangular pyramid calculator can be used to find the base length, volume, lateral surface area, etc. The formula for each property appears at the side.
What is a triangular pyramid?
A polyhedron having three triangular sides meeting at the apex on top and forming a triangular base at the bottom.

A triangular pyramid has 6 edges and 4 vertices. A triangular pyramid can be either regular (equilateral) or non-regular (isosceles).
Below are some properties of a pyramid. These can be calculated through the triangular pyramid calculator.
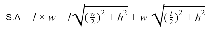
Surface Area - Definition
The surface area of a pyramid consists of the area of all the surfaces including the base.
The formula to calculate surface area is:
Where,
- L = base length
- w = base width
- h = pyramid height
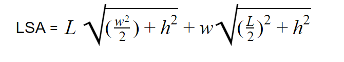
Lateral Surface Area
It is also a type of surface area measurement but it excludes the base of the pyramid.
Its formula is:

Where,
- L = base length
- w = base width
- h = pyramid height

Volume
The total area occupied by a triangular pyramid in 3 dimensions (volume) is calculated by:
Volume = ( L x W x h )/ 3
In this equation:
- L stands for length
- W stands for width
- h stands for height
Height
The distance from the center of the base to the apex is called the height of the pyramid. It is calculated by:
Height = 3v/lw
- V = volume
- L = base length
- w = base width
How to Calculate Surface Area of a Triangular Pyramid?
Example:
For the given set of information, calculate surface area.
Base length = 6 cm
Base width = 7cm
Height = 5cm
Solution:
Step 1: Write the formula.

Step 2: Put the values in the formula.
S.A = 6 * 7 + 6 √((7/2)2+52)+ 7√((6/2)2+52)
S.A = 6 * 7 + 36.62 + 40.8
S.A = 78.62 +40.8
S.A = 119.44